






Typical network constrained events questionsare as follows:


Reference: Network Kernel Density Estimate
The mass of each event can be seen as a third dimension and is evaluated by a selected kernel function (K) within a specified bandwidth. The kernel function must satisfy the following conditions:

The total mass of an event is 1, and is spread according to the function K within the bandwidth distance.
We can see that the “influence” of each point is limited within the bandwidth and decreases when we move away from the event.

Reference: Network Kernel Density Estimate
In the figure below, 3 sampling points (s1, s2 and s3) are added in blue.

The NetKDE formula can be defined as follow:

Reference: Network Kernel Density Estimate
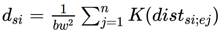
The general formula of NetKDE is defined as:

with dsi the density estimated at the sample point si, bw the bandwidth and ej an event.
The general formula of NetKDE is defined as:

with dsi the density estimated at the sample point si, bw the bandwidth and ej an event.
The proposed kernel functions in the spNetwork package are:

Reference: Network Kernel Density Estimate
The simple method was proposed by Xie and Yan (2008). They defined the NetKDE with the following formula:

The simple method was proposed by Xie and Yan (2008). They defined the NetKDE with the following formula:


Reference: Network Kernel Density Estimate
The algorithm is proposed by Sugihara, Satoh, and Okabe (2010). It is easily presented visually below:

The algorithm is proposed by Sugihara, Satoh, and Okabe (2010). It is easily presented visually below:


Reference: Network Kernel Density Estimate
The continuous NKDE merges the best of the two worlds:

The continuous NKDE merges the best of the two worlds:

This process is accomplished by a recursive function. It is more time consuming, so it might be necessary to stop it when the recursion is too deep.

Reference: Network Kernel Density Estimate

Ho: The observed spatial point events (i.e airbnb listings, coffee outlets, traffic accident locations etc) are uniformly distributed over a street network in a study area.
The assumption of the binomial point process implies the hypothesis that objects represented by P (say, airbnb listings) are uniformly and independently distributed over the street network Lp.
If this hypothesis is rejected, we may infer that the spatial point events are spatially interacting and dependent on each other; as a result, they may form nonuniform patterns.
In general, there are two types of nonuniform spatial point patterns on network, they are:

Reference: Atsuyuki Okabe and Ikuho Yarnada (2001) "The K-Function Method on a Network and Its Computational Implementation", Geographical Analysis, Vol. 33, No. 3, pp. 271-290
Under the assumption of the binomial point process, network k-function K(t) (Atsuyuki Okabe and Ikuho Yarnada, 2001) is defined as:


Reference: Atsuyuki Okabe and Ikuho Yarnada (2001) "The K-Function Method on a Network and Its Computational Implementation", Geographical Analysis, Vol. 33, No. 3, pp. 271-290
For instance, the set A may be the set of Airbnb listings and the set B may be the set of MRT stations. We are concerned with whether the locations of MRT stations affect the distribution of Airbnb listing.
Ho: Airbnb listings are distributed according to the binomial point process.
This assumption implies that Airbnb listings are uniformly and independently distributed over LT regardless of the locations of MRT stations.
If the above hypothesis is rejected, we may infer that the locations of MRT stations affect the distribution of Airbnb listing.
It should be noted that no assumption is made with respect to the distribution of points B.

Reference: Atsuyuki Okabe and Ikuho Yarnada (2001) "The K-Function Method on a Network and Its Computational Implementation", Geographical Analysis, Vol. 33, No. 3, pp. 271-290
Okabe, Atsuyuki and Yarnada, Ikuho (2001) "The K-Function Method on a Network and Its Computational Implementation", Geographical Analysis, Vol. 33, No. 3, pp. 271-290
Abramson, Ian S. 1982. “On Bandwidth Variation in Kernel Estimates-a Square Root Law.” The Annals of Statistics, 1217–23.
Okabe, Atsuyuki, and Kokichi Sugihara. (2012) Spatial Analysis Along Networks: Statistical and Computational Methods. John Wiley & Sons.
Sugihara, Kokichi, Toshiaki Satoh, and Atsuyuki Okabe (2010) “Simple and Unbiased Kernel Function for Network Analysis.” In 2010 10th International Symposium on Communications and Information Technologies, 827–32. IEEE.
Xie, Zhixiao, and Jun Yan (2008) “Kernel Density Estimation of Traffic Accidents in a Network Space.” Computers, Environment and Urban Systems 32 (5): 396–406.
Keyboard shortcuts
| ↑, ←, Pg Up, k | Go to previous slide |
| ↓, →, Pg Dn, Space, j | Go to next slide |
| Home | Go to first slide |
| End | Go to last slide |
| Number + Return | Go to specific slide |
| b / m / f | Toggle blackout / mirrored / fullscreen mode |
| c | Clone slideshow |
| p | Toggle presenter mode |
| t | Restart the presentation timer |
| ?, h | Toggle this help |
| Esc | Back to slideshow |